Raised Temperature Resistance PE-RT II Fittings for Low temperate-heating Distribution System

Short Description:

1. Name:  PE-RT II Fittings.

2. Size: 20-1000mm.

3. Pressure: PN4-PN25Mpa.

4. Temperature:  -40℃-95℃

5. Packing:  Woodencase, cartons or bags.

6. Delivery: 3-7 Days, Quick Deliery.

7. Product inspection: Raw material inspection. Finished product inspection. Third party inspection upon clients request.


Product Detail

Product Tags

Detail Information

CHUANGRONG is a share industry and trade integrated company, established in 2005 .Which focused on the production full range of quality HDPE Pipes & Fittings (from20-1600mm, SDR26/SDR21/SDR17/SDR11/SDR9/SDR7.4), and sale of PP Compression FittingsPlastic Welding MachinesPipe Tools and Pipe Repair Clamp etc.

 

Raised Temperature Resistance PE-RT II Fittings for Low temperate-heating Distribution System

Fittings Type

Specification

Diameter(mm)

Pressure

PE-RT Electrofusion Fittings

EF Coupler

DN20-1000mm

SDR17, SDR11 SDR9(50-400MM)

 

EF Reducer

DN20-1000mm

SDR17, SDR11 SDR9(50-400MM)

 

EF 45 deg elbow

DN50-1000mm

SDR17, SDR11 SDR9(50-400MM)

 

EF 90 deg elbow

DN25-1000mm

SDR17, SDR11 SDR9(50-400MM)

 

EF Tee

DN20-800mm

SDR17, SDR11 SDR9(50-400MM)

 

EF Reducing Tee

DN20-800mm

SDR17, SDR11 SDR9(50-400MM)

 

EF End Cap

DN50-400mm

SDR17, SDR11 SDR9(50-400MM)

 

EF Stub End

DN50-1000mm

SDR17, SDR11 SDR9(50-400MM)

       

 

Welcome to visit our factory or conduct a third-party audit.

Welcome to contact us for products details and professional service.

Please send email to:  chuangrong@cdchuangrong.com 

 

DSC01368
DSC01381
DSC01378

Product Description

PE-RT II electric fusion pipe fittings are specially designed for PE-RT II heat-resistant polyethylene pipe connectors, through electric fusion welding technology to achieve a solid connection between the pipe and the pipe fittings. PE-RT II pipeline with high temperature resistance, pressure resistance, corrosion resistance and other excellent performance, suitable for central heating, hot water transportation and other high temperature environment.

 

 

 

Advantage

High temperature resistance: PE-RT II pipe can be used at 95ºC high temperature for a long time, and the electric melting pipe fitting is matched with it to ensure the high temperature stability of the connection.

1. Good sealing: The electric fusion connection fuses the pipe with the pipe fitting through heating to form a seamless connection and avoid leakage.

2. Convenient construction: electric fusion connection operation is simple, without complex equipment, suitable for on-site construction.

3. Corrosion resistance: PE-RT II material resistant to acid and alkali corrosion, suitable for a variety of media transportation.

 

 

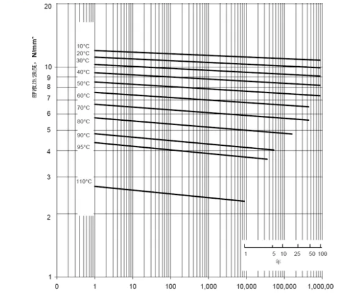
Long-term Hydrostatic Strength at High Temperature.

1748403211642

Application

PE-RT II fuse fittings are widely used in the following fields:
Urban central heating: used for hot water transmission of secondary pipe network, excellent high temperature resistance.

Hot water project: suitable for air energy heat pump, solar hot water system, etc.

Hot spring pipe: used for thermal insulation transportation of hot spring water, corrosion resistance and low heat loss.

Building heating: suitable for floor heating system, high temperature ground source heat pump system, etc

5eb97dd9-04b6-450b-a9b1-7d0393c4cbf4
db48ba50-cfc4-44ef-bfc1-df166b2157f3

Attention

Matching: Fuse fittings matching PE-RT II pipes must be used to avoid connection failure due to material differences.

Welding parameters: Set welding parameters strictly in accordance with pipe fitting instructions to avoid overheating or insufficient.

Construction environment: Avoid construction in extreme weather to ensure connection quality.

Regular maintenance: check the tightness and corrosion of the connection, and replace the damaged parts in time.

If you have any questions, you can feel free to contact us  in  anytime .

Welcome to contact us for products details and professional service.

Please send email to:  chuangrong@cdchuangrong.com  or Tel: + 86-28-84319855


  • Previous:
  • Next:

  • Send your message to us:

    Write your message here and send it to us

    Send your message to us:

    Write your message here and send it to us